About me
I am an economist with experience spanning central banking, consulting, and academic research.
I dabble in computational models using a complexity approach, especially—but not limited to—agent-based models. My work develops quantitative macroeconomic models with heterogeneous agents and financial blocks, currently focusing on household consumption and saving, and how policy shocks propagate through it.
Research interests
My research aims to unveil the complex nature of macroeconomics and to investigate real-financial interactions.
- Agent-based computational economics
- Macro-financial interactions
- Financial networks & systemic-risk
- Financial Stability
- Household consumption and saving
- Credit & the housing market
- CBDC
- Green transition & climate change
- Labour Markets
Highlights
Interactive visualization of BEA price and quantity indexes for goods and services using NIPA tables.
Consumption and Expectations
- Marginal Propensity to Consume by household group, France
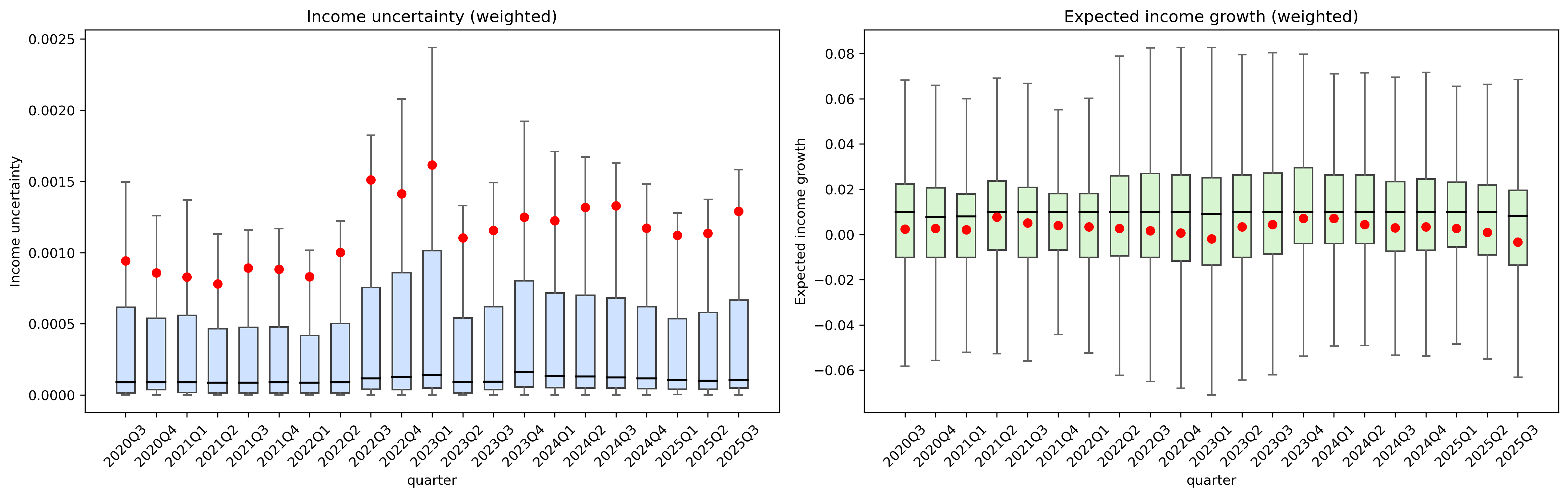
- CES income uncertainty and expected income growth, France
